阴阳师SP般若怎么抽?SP御怨般若抽卡期望
时间:2023-12-09 03:59:25
小编:雷云软件园
阴阳师SP御怨般若多久能抽到?SP御怨般若是当下非常热门的一个式神,想要抽到SP御怨般若要多少次?SP御怨般若值不值得抽呢?关于新SP式神的一些抽取技巧,小编会将具体的数据分享在下方的,有需要的小伙伴可以了解下。

阴阳师SP御怨般若抽卡技巧
方法,用程序模拟10000次抽卡测试(相当于10000个人抽卡),抽到SP般若或1500抽即停止抽卡,以此估算期望值和概率。使用的概率为全图鉴概率,不考虑非全图鉴问题。因为不是数学建模计算的,会有误差,但应该问题不大。

结论,本次抽取SP般若的期望抽卡次数约为233.18次,期望抽取SSR个数约为4.38个。即,平均水平为,234抽,或抽出5个SSR,有望抽出SP般若。
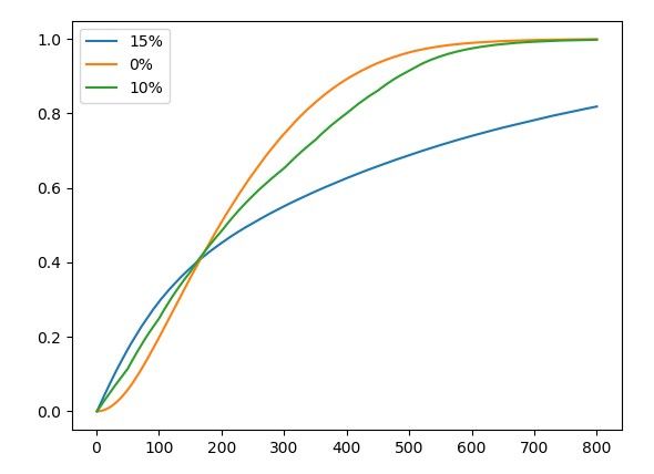
另外,给出一些抽取次数对应的分布情况(即x%的人能在这个抽取次数下抽到至少一张SP般若),及与固定15%up的模型的比较。


所以,200抽以下抽出SP般若的属于绝对欧洲人,晒出货请谨慎;700抽以上仍未出货的,属于究极非洲人,给你一个爱的抱抱;此次模拟的最大抽取次数是1044,有保底对非洲人还是比较友好的。
另外,抽取次数达到170抽以上,则新模型优于固定15%up的模型;新模型对约56%的人(大部分人)更为友好。
